欢迎来到湖南昇通新材料科技有限公司官网!
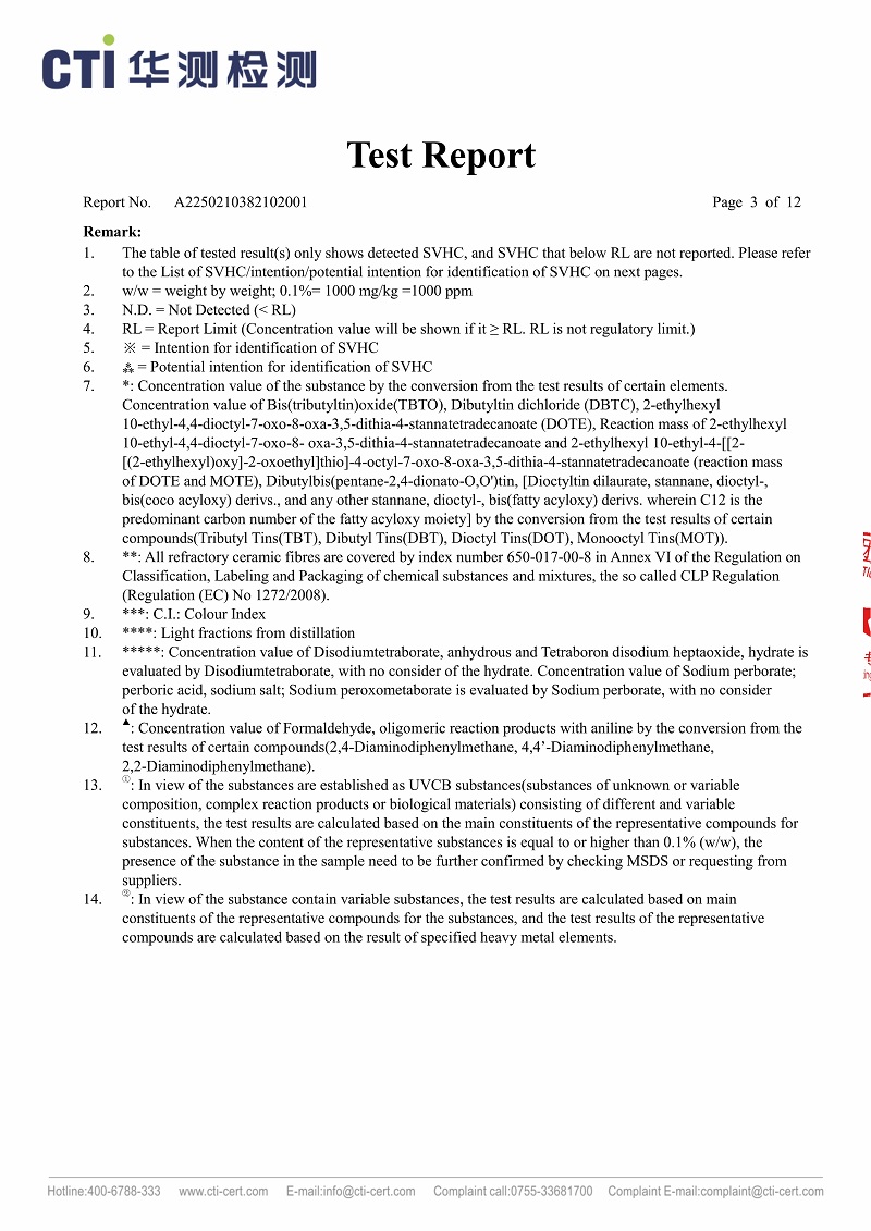
检验报告
公司定位:以专业的技术和一流的服务为客户提供最佳电磁屏蔽的解决方案。 公司使命:满足客户需求,提升信息安全,让世界更美好。 公司愿景:技术引领发展,品质铸就市场,共建百年企业。 公司价值观:正信笃行 ,弘毅担当, 创新融合。
网站首页   >   检验报告   >   产品检测报告
检验报告发布时间:2025-06-04 16:05